Phone 01901 049219-20Email query@bcsconfidence.online
ডেমো অনলাইন ক্লাসনিবন্ধনলগইন
Your Companylogo
হোমকারেন্ট অ্যাফেয়ার্সবিসিএস প্রশ্ন ব্যাংকবিসিএস সম্ভারচাকরির খবরকৃতিকথনপ্রয়োজনীয় পিডিএফফলাফল এবং সমাধান

কল করুন

+8801901049219+8801901049220

Solutions

Solution

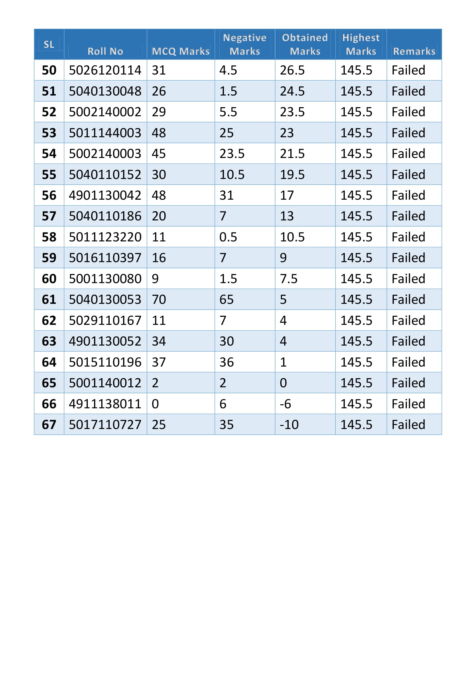
50th Bcs Preli Model Test-07 online Results

19-01-2026

Images

Footer

Facebook Instagram X Youtube TikTok LinkedIn
WhatsAppWhatsApp
WhatsAppWhatsApp
logo
Phone 01901 049219-20Email query@bcsconfidence.online
Facebook Instagram X Youtube TikTok LinkedIn

প্রতিষ্ঠান

  • হোম
  • আমাদের সম্পর্কে
  • যোগাযোগ
  • কৃতিকথন
  • এমডির আলাপন
  • আমাদের শাখাসমূহ

বিসিএস সম্ভার

  • বিষয়ভিত্তিক আলোচনা
  • বিসিএস প্রশ্ন ব্যাংক
  • বিসিএস সিলেবাস

কারেন্ট অ্যাফেয়ার্স

  • সাম্প্রতিক বাংলাদেশ
  • সাম্প্রতিক আন্তর্জাতিক
  • বাংলাদেশ কলাম
  • আন্তর্জাতিক কলাম
  • চাকরির খবর

আইনি

  • গোপনীয়তা নীতি
  • শর্তাবলি
  • প্রত্যর্পণ নীতি
  • এডমিন লগইন

© ২০২৬ বিসিএস কনফিডেন্স, সমস্ত অধিকার সংরক্ষিত।

ভিজিট: ২৪,৫৬,৭২৯

পরিকল্পনা এবং উন্নয়নকারী - ক্রেবসল লিমিটেড